Dr. A.P.J. Abdul Kalam Technical University (AKTU), Lucknow has officially released an important notice regarding AKTU PG Dissertation Evaluation 2024–25. This update is based on the official circular issued on 17 December 2025 and is applicable to M.Tech, M.Pharm and M.Arch (MURP) courses.
All regular and carry-over postgraduate students must carefully read and follow this update to avoid rejection of their dissertation.







What Is the AKTU PG Dissertation Evaluation 2024–25 Update?
According to the official notice shared by AKTU, the university has clearly explained how AKTU PG Dissertation Evaluation 2024–25 will be conducted. The notice mainly focuses on:
Offline dissertation evaluation and viva
Mandatory plagiarism check using Turnitin
Correct thesis formatting as per AKTU guidelines
ERP upload process and deadline
This update applies to students registered in sessions 2020–21 to 2024–25.
Dissertation Evaluation and Viva Will Be Offline
One of the most important points of AKTU PG Dissertation Evaluation 2024–25 is that the dissertation evaluation and viva-voce examination will be conducted in OFFLINE mode.
This rule applies to:
M.Tech students
M.Pharm students
M.Arch / MURP students
Students must appear physically for the viva as per the schedule provided by their institute.
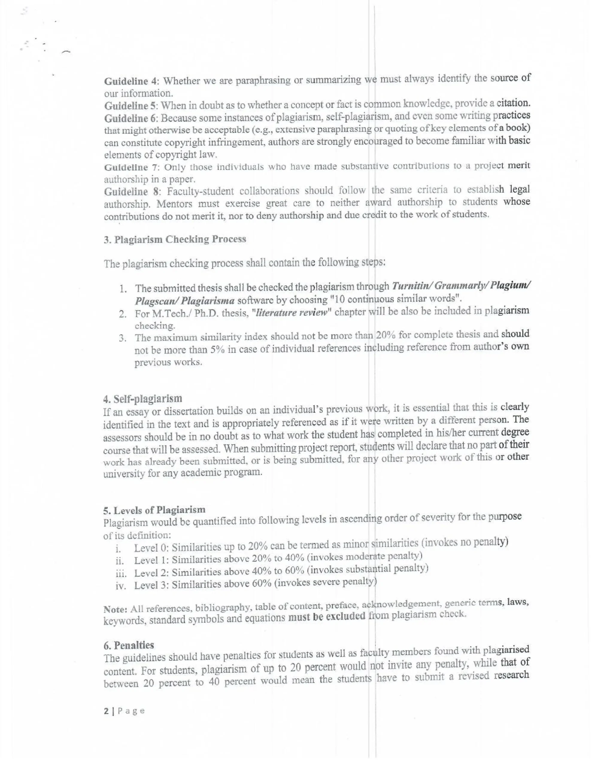
Plagiarism Check Is Compulsory for AKTU PG Dissertation Evaluation 2024–25
AKTU has made it very clear that plagiarism checking is mandatory for all PG dissertations.
For AKTU PG Dissertation Evaluation 2024–25, students must:
- Use Turnitin software only
- Follow plagiarism guidelines issued on 22 July 2020
- Submit a Turnitin plagiarism report
- Submit a Certificate of Non-Plagiarism signed by the supervisor and forwarded by the institute
Students must ensure that their thesis is not uploaded to any public repository during plagiarism checking, as this can increase similarity and lead to rejection.
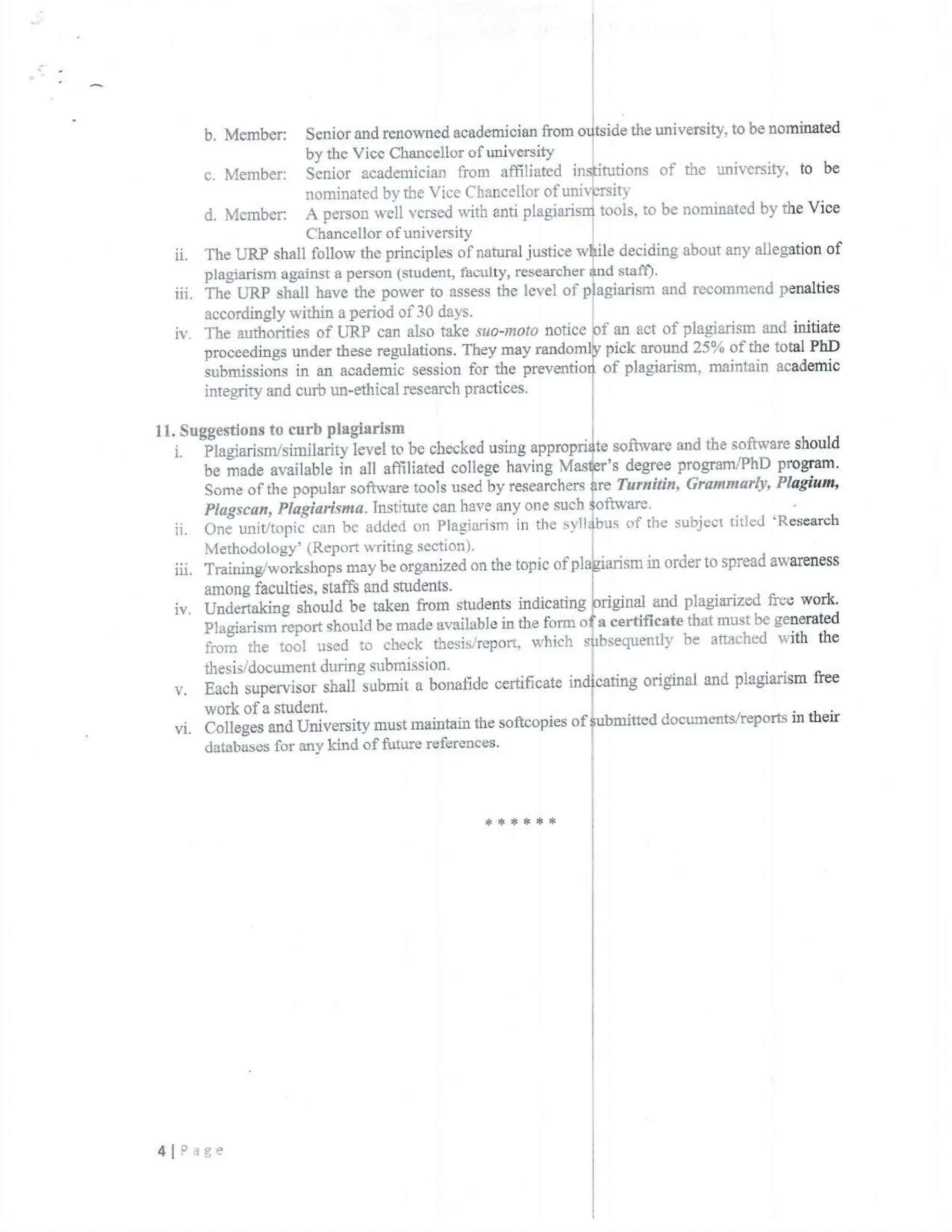
AKTU Can Re-Check and Reject the Dissertation
Under AKTU PG Dissertation Evaluation 2024–25, the university has the authority to re-check dissertations at its own level using Turnitin.
If the dissertation does not follow plagiarism rules or formatting guidelines, AKTU can reject it and take action against:
The student
The supervisor
The institute
Dissertation Formatting Rules Are Mandatory
Only those dissertations will be accepted under AKTU PG Dissertation Evaluation 2024–25 that strictly follow:
- AKTU thesis formatting rules
- Ph.D / M.Tech / M.Pharm thesis preparation guidelines available on the AKTU website
If formatting is incorrect, the dissertation will not be accepted for evaluation.
ERP Upload Dates for AKTU PG Dissertation Evaluation 2024–25
As per the official notice images, the ERP upload process is time-bound.
- ERP upload start date: 18 December 2025
- Last date for upload: 30 December 2025
The institute will upload the student application using Director ERP Login. Students must:
- Fill all information correctly
- Upload the complete thesis in MS Word format
- Pay the required dissertation fee through ERP
Without fee payment, the application for AKTU PG Dissertation Evaluation 2024–25 will be rejected.
Important Instructions Mentioned in the Notice
- The official notice clearly states that:
- The complete thesis must be uploaded with cover page
- All documents must be uploaded as a single file
- Plagiarism guidelines must be followed strictly
If these instructions are not followed, the dissertation will not be accepted, and responsibility will lie with the student, supervisor, and institute.
What Should Students Do Now?
Students appearing under AKTU PG Dissertation Evaluation 2024–25 should immediately:
- Contact their guide and college
- Complete Turnitin plagiarism checking early
- Verify thesis format carefully
- Avoid last-minute ERP submission
READ MORE : AKTU Grasim Industries Chemical Division Result 2025 Released: B.Tech Chemical Placement Update
Final Words
The AKTU PG Dissertation Evaluation 2024–25 notice is extremely important for all M.Tech, M.Pharm, and M.Arch students. Any mistake in plagiarism checking, formatting, or ERP submission can lead to rejection of the dissertation.
Students are advised to strictly follow the official notice and complete all formalities within the given timeline.







